Maker.io main logo

Double Lithium-Ion/Lithium-Polymer USB Type-C Charger

76

2022-02-27 | By Hesam Moshiri

License: Attribution-NonCommercial-ShareAlike

Nowadays, Lithium batteries are used extensively in portable devices, such as cellphones, laptop computers, electronic gadgets, … etc. There is a standard industry-defined procedure (cycle) for charging the lithium-ion/lithium-polymer batteries, otherwise, the lifetime of the batteries is reduced significantly or even they might explode and catch fire. As a basic rule of thumb, a lithium battery should be charged at the rate of 0.5C to 1C. In this article/video, I have introduced a universal double lithium battery charger that the charging current (C rate) can be adjusted simply by changing a resistor value. You just need a 5V power source (such as a mobile charger) and a USB Type-C cable.

To design the schematic and PC, I used Altium Designer 22 and the SamacSys component libraries (Altium Plugin). To examine the charging current/voltage, I used the Siglent SDM3045X multimeter. Isn’t cool?!, So let’s get started!

YouTube: https://www.youtube.com/watch?v=aicQEB17ZCY

Circuit Analysis

Figure 1 shows the schematic diagram of the device. The heart of the circuit (IC1 and IC2) is the MCP73831 chip from Microchip [1].

 Fig1 Double Lithium Ion Polymer USB Type C Charger

Figure 1

Schematic diagram of the Lithium-Ion/Lithium-Polymer USB Type-C Charger

 

According to the MCP73831 datasheet: “The MCP73831/2 devices are highly advanced linear charge management controllers for use in space limited, cost-sensitive applications. The MCP73831/2 are available in an 8-Lead, 2 mm x 3 mm DFN package or a 5-Lead, SOT-23 package. Along with their small physical size, the low number of external components required make the MCP73831/2 ideally suited for portable applications. For applications charging from a USB port, the MCP73831/2 adheres to all the specifications governing the USB power bus. The MCP73831/2 employs a constant-current/constant-voltage charge algorithm with selectable preconditioning and charge termination. The constant voltage regulation is fixed with four available options: 4.20V, 4.35V, 4.40V, or 4.50V, to accommodate new, emerging battery charging requirements. The constant current value is set with one external resistor. The MCP73831/2 devices limit the charge current based on die temperature during high power or high ambient conditions. This thermal regulation optimizes the charge cycle time while maintaining device reliability.”

The charging current of the chip can be programmed from 15mA to 500mA which covers the majority of applications. MCP73831 has one main difference with MCP73832 which is the charge status pin. I decided to select MCP73831 for this project. Figure 2 shows the charging cycle of the chip which is a complete charging cycle.

 Fig2 Double Lithium Ion Polymer USB Type C Charger

Figure 2

Complete charging cycle of a 100mA battery (ref: datasheet)

 

C1, C2, C3, and C4 are used to reduce the supply noise. D1 is an LED that indicates a proper supply (Type-C cable) connection. R1 limits the current to the LED.

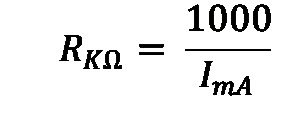
CON1 is a Type-C female USB connector. R2 and R4 define the charging current of the H1-P1 and H2-P2 battery connectors. D2 and D3 indicate the charging status. An ON LED indicates a completed charging cycle. The charging current can be calculated using equation 1. So the maximum charging current (500mA) is achieved using a 2K resistor.

 eq1 Double Lithium Ion Polymer USB Type C Charger

Equation 1

Charging current calculation formula for IC1 and IC2

 

PCB Layout

Figure 3 shows the PCB layout of the design. It is a two layers PCB board. All components, except for the battery holders/connectors are SMD.

Fig3 Double Lithium Ion Polymer USB Type C Charger 

Figure 3

PCB layout of the Lithium-Ion/Lithium-Polymer USB Type-C Charger

 

When I decided to design the schematic and PCB for this project, I realized that I don’t have the component libraries of IC1 and IC2 [2] in my component libraries storage. So as usual, I selected IPC-rated SamacSys component libraries and installed the missing libraries (schematic symbol, PCB footprint, 3D model) using the free SamacSys tools and services. There are two ways to import the libraries into the electronic designing CAD software: You can visit the componentsearchengine.com and download and import the libraries, or you can use the SamacSys CAD plugins and directly import/install the libraries into the design environment. Figure 4 shows all supported electronic designing CAD software [3]. As it is clear, all famous players are supported. I use Altium Designer, so I installed the missing libraries using the SamacSys Altium plugin (Figure 5) [4]. Figure 6 shows a 3D view of the board and two assembly drawings of the PCB board.

 Fig4 Double Lithium Ion Polymer USB Type C Charger

Figure 4

All supported electronic designing CAD software by the SamacSys plugins

 Fig5 Double Lithium Ion Polymer USB Type C Charger

Figure 5

Selected component libraries in the SamacSys Altium plugin 

Fig6 Double Lithium Ion Polymer USB Type C Charger

Figure 6

A 3D view and two assembly drawings of the PCB board

 

Assembly and Test

Figure 7 shows the assembled PCB board. The only tricky part to solder is the USB Type-C connector. You should use a hot air station and solder paste to solder such components, otherwise, it is difficult to solder it using a normal soldering iron, however, other components are easy to solder. If you are a beginner or don’t have enough time to purchase the components and solder them yourself, you can order an assembled board. 

Fig7 Double Lithium Ion Polymer USB Type C Charger

Figure 7

Assembled PCB board of the Lithium-Ion/Lithium-Polymer USB Type-C Charger

 

I have configured the charging current for one of the channels to be near 450mA (using a 2.2K resistor) and another channel to 100mA (using a 10K resistor). Because I intended to charge one of my lithium-ion batteries in channel-1 and a small 200mA lithium polymer one in channel-2. Figure 8 shows the battery voltage while it is charging. I used the Siglent SDM3045X multimeter as a reference [5].

 Fig8 Double Lithium Ion Polymer USB Type C Charger

Figure 8

Battery voltage during the charging cycle (Siglent SDM3045X)

 

When the charging cycle is finished, a RED led lights up and indicates a full battery. Figure 9 shows the LED indicator and the battery voltage. As the measurement indicates, my LiPo battery cut-off voltage is 4.185V which is pretty close to the defined standards. Well done!

15mV difference could be the result of the quality of the battery or the influence of the battery’s protection circuit.

 Fig9 Double Lithium Ion Polymer USB Type C Charger

Figure 9

A full battery LED indicator and the battery voltage (Siglent SDM3045X)

 

Bill of Materials (BOM)

Figure 10 shows the bill of materials for this project.

 Fig10 Double Lithium Ion Polymer USB Type C Charger

Figure 10

Bill of materials

 

References

[1]: MCP73831 datasheet: http://ww1.microchip.com/downloads/en/DeviceDoc/20001984g.pdf

[2]: MCP73831 schematic symbol, PCB footprint, 3D model: https://componentsearchengine.com/part-view/MCP73831T-2DCI/OT/Microchip

[3]: Electronic designing CAD software plugins: https://www.samacsys.com/library-loader-help

[4]: Altium Designer plugin: https://www.samacsys.com/altium-designer-library-instructions

[5]: Siglent SDM3045X multimeter: https://siglentna.com/digital-multimeters/sdm3045x-digital-multimeter/

Have questions or comments? Continue the conversation on TechForum, DigiKey's online community and technical resource.